

波長色散型X射線熒光光譜儀分析硫化銅鉬礦的應用方案-華普通用
分析硫化銅鉬礦的應用方案
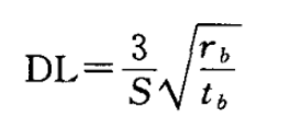
硫化銅鉬礦作為常見的硫化銅礦之一,有用成分除銅物外,還含有輝鉬礦。硫化銅礦及其精礦質量高低直接影響銅產品的技術經濟指標,因此針對其選礦流程樣品中銅、鉬、鐵、硫、硅、鈣等主成分的分析往往需要若干傳統方法的組合,其操作流程繁瑣冗長。 利用X射線熒光光譜(XRF)法線性范圍寬、精密度高、分析速度快的特點則可有效解決這一難題。 波長色散X射線熒光光譜儀ZSX Primus III+ 本文介紹使用波長色散X射線熒光光譜儀 ZSX Primus III+分析硫化銅鉬礦的主要成分。 1儀器與試劑 儀器: 波長色散型X射線熒光光譜儀 ZSX Primus III+ 試劑: 四硼酸鋰與偏硼酸鋰混合熔劑 脫模劑(LiBr)分析純 氧化劑(LiNO3)分析純 2實驗步驟 取0.4g樣品,1.0g混合熔劑,2.0g氧化劑混合均勻后,再均勻覆蓋5.0g混合熔劑,在熔樣機中以650℃預氧化后升溫至1050℃熔融,加入適量脫模劑后制成玻璃樣片,于熒光光譜儀上進行測定。 3標準樣品選擇 將銅礦石、鉬礦石國家標準物質精礦樣品與原礦樣品以不同比例混合,以配制具有一定含量梯度的校準樣品序列,各成分含量范圍如下: 標準樣品及人工配置校準樣品中 各成分含量范圍 4方法檢出限 根據公式: S為靈敏度(kcps/%),rb為背景計數率(kcps),tb為背景測定時間(s),可得方法檢出限。 5方法精密度 按上述實驗步驟熔融GBWO7144和 GBW07266等比例混合的樣品并進行測定( n=10),統計測量結果,計算各成分的相對標準偏差如下: 6總結 采用波長色散X射線熒光光譜儀ZSX PrimusIII+,建立了涵蓋硫化銅鉬礦石選礦流程樣品中主成分分布的熔融制樣——XRF分析方法。 Cu、Mo、Fe、S、SiO2 精密度小于1.0 %,檢出限滿足日常分析要求。







